Теорема 4.3.1.

Для произвольного подмножества AiDi и некоторого aiAi, если åiAi- ближайший по d*i к ai элемент Ai, то среди всех элементов Ai:

1. åi совпадает с ai в наибольшем числе первых бинарных признаков (разрядов) xik.

2. Если первый несовпадающий разряд ain= 0, то среди разрядов åin+1, åin+2,... наибольшее число первых нулей.

3. Если ain= 1, то среди åin+1, åin+2,... наибольшее количество единиц.

Доказательство:

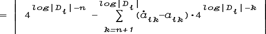
1. k<n aik = åik d*i(åi,ai) = 

Следовательно, один разряд перевешивает вклад всех последующих.

2. Если ain= 0; åin = 1, то

d*i(åi,ai) =

Отсюда у åi должно быть наибольшее количество первых нулей после åin для того, чтобы вклад второго слагаемого модуля был наименьшим (отрицательным).

3. Если ain= 1; åin= 0, то

d*i(åi,ai) =

Следовательно, у åi должно быть наибольшее количество первых единиц после åin, что сделает второе слагаемое максимальным.

q.e.d.